Evolution of sex differences in cooperation can be explained by trade-offs with dispersal
Loading...
Date
Authors
Journal Title
Journal ISSN
Volume Title
Publisher
Public Library of Science
Abstract
Explaining the evolution of sex differences in cooperation remains a major challenge. Comparative studies highlight that offspring of the more philopatric sex tend to be more cooperative within their family groups than those of the more dispersive sex but we do not understand why. The leading “Philopatry hypothesis” proposes that the more philopatric sex cooperates more because their higher likelihood of natal breeding increases the direct fitness benefits of natal cooperation. However, the “Dispersal trade-off hypothesis” proposes that the more dispersive sex cooperates less because preparations for dispersal, such as extra-territorial prospecting, trade-off against natal cooperation. Here, we test both hypotheses in cooperatively breeding white-browed sparrow weavers (Plocepasser mahali), using a novel high-resolution automated radio-tracking method. First, we show that males are the more dispersive sex (a rare reversal of the typical avian sex difference in dispersal) and that, consistent with the predictions of both hypotheses, females contribute substantially more than males to cooperative care while within the natal group. However, the Philopatry hypothesis cannot readily explain this female-biased cooperation, as females are not more likely than males to breed within their natal group. Instead, our radio-tracking findings support the Dispersal trade-off hypothesis: males conduct pre-dispersal extra-territorial prospecting forays at higher rates than females and prospecting appears to trade-off against natal cooperation. Our findings thus highlight that the evolution of sex differences in cooperation could be widely attributable to trade-offs between cooperation and dispersal; a potentially general explanation that does not demand that cooperation yields direct fitness benefits.
Description
DATA AVAILABILITY : All R scripts and datasets needed to reproduce the analyses presented in this paper are available at: https://doi.org/10.5281/zenodo.13623047.
SUPPORTING INFORMATION : FILE S1. Text A. Quantifying the contributions of natal subordinates to cooperative provisioning. Text B. Additional Encounternet methods. Text C. Impact of unknown dispersal events on age-specific dispersal probabilities of natal subordinates. Text D. Sex difference in the strategy used to acquire dominance via dispersal. https://doi.org/10.1371/journal.pbio.3002859.s001.
FIGURE S1. The Encounternet receiver “base station” array that was used for detecting forays. Panel (A) and (B) show the same simplified map of the study site with the locations of the 35 base stations (black and red dots), most of which were placed in the centre of distinct sparrow weaver territories (see Methods). The x and y axes present longitude and latitude (respectively) in metres East and metres North of a given arbitrary location and thus also provide the scale for these maps. In each panel, a circle of 250 meters radius around a focal base station (red dot) is illustrated with a blue line; the only difference between the panels being the location of the focal base station. A single foray was defined as a continuous run (in time) of location estimates which suggested that the bird’s closest base station was >250 m away from the centre of its home territory (i.e., outside blue circle) for at least 15 s. As the mean (± SE) distance between the centres of neighbouring territories was 93.7 m (± 4.56 m), the forays detected with this approach will typically have involved movements beyond the centres of the territories of neighbouring groups. This conservative approach will minimise the chance that a resident bird’s territorial interactions with its neighbouring groups along their shared territory boundary are incorrectly interpreted as extra-territorial prospecting, but is likely to underestimate the true incidence of extra-territorial prospecting by excluding more local forays. The lack of base stations placed within the territories of study groups in the regions outside our core study population will also have left this approach underestimating true foray rate (and likely mean foray distance too). The land to the East and West of the presented array contains no other sparrow weaver territories within the pictured area (and so the focal birds will not have been conducting forays to groups living in those areas). However, there are a small number of widely spaced territories to the North of the array and several also lie close to the array to the South. Prospecting movements into these active territories will therefore not have been logged by our array. Spatial heterogeneity in the probability of true forays being detected by the array will have been accounted for in our statistical models of prospecting rate as all included social Group ID (i.e., territory ID) as a random term. Data and code needed to generate this figure can be found at https://doi.org/10.5281/zenodo.13623047. https://doi.org/10.1371/journal.pbio.3002859.s002.
FIGURE S2. The effect of changing the number of days over which an individual’s prospecting rate was calculated (x axis; prior to the day on which provisioning rate was measured) on the effect size estimate for the effect of an individual’s prospecting rate (forays/day) on its cooperative provisioning rate (feeds/hour). Our analyses within the main paper calculated the prospecting rate over the 3 days prior to the measurement of provisioning rate, as we thought it plausible a priori that any energetic or stress-related costs of prospecting might accumulate and be evident over this timescale. However, on recognising that this decision is somewhat arbitrary we sought to verify, via this sensitivity analysis, that the detected negative covariance between the 2 traits was not particular to this choice of time window. The analysis confirms evidence of negative covariance between the 2 traits over a range of time windows. The initial steady increase in the effect size as the length of the time window considered increases could reflect (i) the timescale over which accumulated costs arising from recent prospecting impact cooperative behaviour, and/or (ii) that, given the modest rate at which prospecting forays occur, the shortest time windows may simply give a poorer-quality estimate of the focal bird’s overall true rate of prospecting. Dots and error bars represent mean model estimates ± SE for the effect of prospecting rate on provisioning rate from the model presented in S9 Table when calculating each bird’s prospecting rate over different time windows. Data and code needed to generate this figure can be found at https://doi.org/10.5281/zenodo.13623047. https://doi.org/10.1371/journal.pbio.3002859.s003
FIGURE S3. Decision tree applied to assign “best estimate” locations to tagged birds using the logs from the Encounternet receiver base station array (see Methods). For each 15-s window in the time series of logs for a given bird, we attempted to assign the tagged bird a “best estimate” location via the following set of rules depicted by the flow diagram here. First, if there were no logs at all for the focal tag during the focal time window, we noted the bird’s location as “unknown” (we did not draw spatial inferences from such “unknown” location events as they could reflect the bird being in a microenvironment that impeded signal transmission, such as thick cover). Second, if there were logs for the focal tag from just one base station (indicating that the tag was out of reception range from all other base stations), we assigned the tagged bird the location of the base station at which it was logged. Third, if there were logs for the focal tag from more than one base station but none of them were the tagged bird‘s home base station, we assigned the tagged bird the location of the base station whose logs had the highest mean signal strength. Note that the highest mean signal strength could nevertheless have been weak in this case (e.g., if the bird was well beyond the boundary of our base station array, having prospected out of the study area, its tag might be logged with only a weak signal strength at the base station closest to it on the array periphery; hence us terming these “best estimate” locations). Fourth, if there were logs for the focal tag from more than one base station but one of them was the bird’s home base station, (i) if the home base station signal strength was stronger than −11.484 (the estimated signal strength at 50 m; see S5 Fig), we assigned the tagged bird the home base station location; (ii) if this was not the case, we assigned the tagged bird the location of the base station with the strongest mean signal strength. https://doi.org/10.1371/journal.pbio.3002859.s004
FIGURE S4. Sensitivity analysis to assess the effect of the “distance threshold” set during the foray detection process (see Methods) on (A) the total number of detected “forays” and (B) the effect size estimate for the sex difference in prospecting rate (forays/day; males relative to females). (A) A “foray” was only considered to have occurred if the base station receiver that the focal bird was estimated to be closest to (i.e., its “best estimate” location) was further than a set distance threshold away from the base station at the centre of the bird’s home territory (see Methods). A priori we set this distance threshold to be 250 m as this approach renders it highly likely that the focal bird itself is >125 m away from the centre of their home territory (see Methods in the main paper for the rationale). As the mean (± SE) distance between the centres of neighbouring territories is 93.7 m (± 4.56 m) in our study population, this minimum plausible distance of 125 m from the centre of the bird’s home territory should ensure that “forays” detected using a 250 m distance threshold will typically have involved movements beyond the territory-centres of the tagged bird’s neighbouring groups. This approach should thereby minimise the chance that the bird’s territorial interactions with its neighbours along their shared boundary while “at home” are misclassified as extra-territorial forays. Reducing the distance threshold below 250 m will progressively increase the risk of such misclassifications; the likely cause of the marked increase in the number of “forays” detected when threshold distances of 225 m and 200 m are used (panel A), while increasing the distance threshold above 250 m may yield an excessively conservative approach that substantially underestimates the incidence of “true forays” by failing to capture those that occur over shorter distances. (B) The effect that changing this set distance threshold has on the estimated effect size (± SE) for the overall sex difference in prospecting rate (shown here as the effect of being male relative to female), when re-running the model presented in S6 Table using different distance thresholds during the foray classification process. The effect was consistently estimated to be positive across the range of distance thresholds tested (i.e., males having higher prospecting rates than females) and, as expected, the magnitude of the estimated sex difference effect size tended to increase as progressively higher distance thresholds were set. This is to be expected as lower distance thresholds will tend with greater frequency to misclassify home-territory movements (in which no sex difference is expected) as “forays,” thereby obscuring to a greater degree our estimate of the sex difference in the true prospecting rate. All of the prospecting analyses presented and referred to in the main text used the 250 m distance threshold, as this makes most sense a priori from attention to the biology of the bird (see Methods). Data and code needed to generate this figure can be found at https://doi.org/10.5281/zenodo.13623047. https://doi.org/10.1371/journal.pbio.3002859.s005
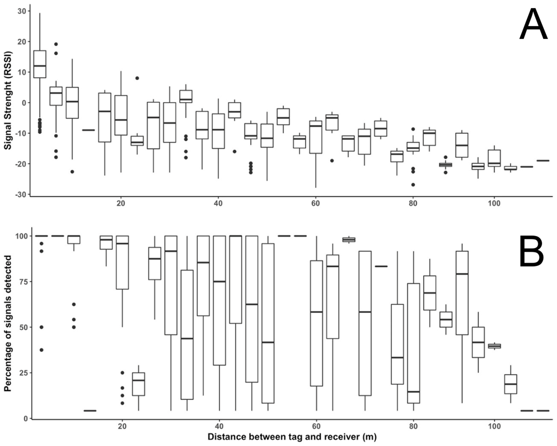
FIGURE S5. The received signal strength indicator (RSSI) values (A) and percentage of detected signals (B) both decreased with the distance between tags and base-station receivers in a field validation on our study site. Our workflow for using the distribution of signal strengths across our receiver array to allocate “best estimate” locations for the tagged birds in each 15-s window, principally used information on the relative signal strength between receivers whenever tags were detected at multiple receivers simultaneously (see S3 Fig for details). However, to add an additional layer of conservatism to the assignment of “non-home” locations in scenarios in which a tag was detected by the receiver in the centre of the tagged bird’s “home” territory as well as one or more receivers elsewhere, we also sought to estimate a threshold absolute signal strength that, if exceeded by the receiver on the home territory, would act as another indicator that the tagged bird was likely “home.” To do this, we estimated the signal strength (RSSI)-distance relationship within our study site (panel A) using biologically realistic locations for the birds via the method described below, and then calculated the mean signal strength obtained at 50 m distance from a receiver in this context for use as this threshold value (as the mean ± SE distance between neighbouring territory centres is just 93.7 m ± 4.56 m in our study population). This process yielded a threshold RSSI value of −11.484; so if a tagged bird was registered with an RSSI value above −11.484 at the receiver at the centre of its “home” territory, the bird was conservatively assigned a “home” location regardless of the signal strengths logged in other locations (see the final step in the S3 Fig workflow). We appreciate that the inherent variability within the RSSI-distance relationship (panel a; due to the effects for example of variation in tag height and signal obstruction via natural features on the study site) has 2 implications, and we do not consider either to be a problem. First, panel a highlights that tagged birds that are on their “home” territory will not always be registered at their “home” receiver at an RSSI >-11.484. In this scenario, we expect the other conservative aspects of our workflows for (i) determining the “best estimate” locations for birds (see S3 Fig) and (ii) identifying forays from the properties of any “non-home” locations (see main paper Methods) to ensure that the bird is not considered to be prospecting in this scenario. Second, panel A highlights that tagged birds could still be registered at their home receiver with an RSSI >-11.484 if they were 80 m from that receiver (potentially further if at heights in excess of those tested in this field exercise; see below) and thus potentially just inside the territory of a neighbouring group. We consider the assignment of a “home” location in this scenario appropriately conservative, as such locations could plausibly reflect routine territorial interactions between neighbouring groups rather than prospecting events. In order to characterise the relationship between RSSI and distance, we placed 2 tags on the end of a narrow wooden pole (one with its antenna oriented vertically, parallel to the base station antennae, and another with its antenna oriented horizontally, perpendicular to the base station antennae) and used the pole to move the tags among a series of locations on 10 transects, each starting from a different focal base station (itself hanging from a roost tree, just as the receivers in our array were). For each transect, we assessed the signal strength of the tags first at 2 m from the focal base station and then at locations at successive 10 m intervals up to a maximum of 122 m away from the focal base station. For one transect, the first location was accidentally set at 8 m from the focal base station and then sampled at 10 m intervals up to 108 m. At each location, we held the pole in position for 4 min, with tags located 1.70 m above the ground for 2 min, and then on the ground for 2 min, to simulate tagged birds perching in vegetation and foraging on the ground; the 2 activities and approximate heights that dominate their time budgets. Data and code needed to generate this figure can be found at https://doi.org/10.5281/zenodo.13623047. https://doi.org/10.1371/journal.pbio.3002859.s006
TABLE S1. Coefficients and likelihood-ratio tests of Gaussian mixed model explaining variation in the provisioning visit duration of subordinates within their natal groups (response variable, originally in seconds, ln+1 transformed; n = 5,040 provisioning visits by 205 subordinates, 97 males and 109 females). The interaction between subordinate age and subordinate sex did not receive statistical support (χ23 = 6.39, p = 0.094) and was dropped from the full model to ease interpretation of single effect predictors. Residual variance = 0.262. https://doi.org/10.1371/journal.pbio.3002859.s007
TABLE S2. Coefficients and likelihood-ratio tests of binomial mixed model explaining variation in probability of provisioning a large food item by subordinates within their natal groups (n = 1,325 provisioning visits by 156 subordinates, 74 males and 83 females). The interaction between subordinate age and subordinate sex did not receive statistical support (χ23 = 0.31, p = 0.859) and was dropped from the full model to ease interpretation of single effect predictors. Model coefficients are shown in the link-function scale (“logit”). https://doi.org/10.1371/journal.pbio.3002859.s008
TABLE S3. Microsatellite relatedness of subordinates and offspring (n = 487 relatedness measures for 205 subordinates, 111 males and 94 females). This table shows the result of a linear model explaining variation in microsatellite relatedness [5] between subordinates (males and females) and the offspring that they help to rear. In the model subordinate sex was included as a fixed effect predictor. For details of microsatellite genotyping, see Supplementary Text A in [6,7]. Residual variance = 0.041. https://doi.org/10.1371/journal.pbio.3002859.s009
TABLE S4. Coefficients and likelihood-ratio tests of binomial mixed model explaining variation in probability of subordinate dominance acquisition in the natal group when subordinates resided in the natal group at 1, 2, 3, and 4 years of age (n = 375 age-specific observations, 114 males and 105 females). The interaction between subordinate age and subordinate sex did not receive statistical support (χ23 = 0.80, p = 0.850) and was dropped from the full model to ease interpretation of single effect predictors. Model coefficients are shown in the link-function scale (“logit”). https://doi.org/10.1371/journal.pbio.3002859.s010
TABLE S5. Coefficients and likelihood-ratio tests of binomial mixed model explaining variation in probability of subordinate dominance acquisition in the natal group when subordinates resided in the natal group at 1, 2, 3, and 4 years of age, including events any in which dominance was acquired outside the natal group by founding a new group within territory previously held by the natal group (i.e., territorial budding [8]) (n = 375 age-specific observations, 114 males and 105 females). The interaction between subordinate age and subordinate sex did not receive statistical support (χ23 = 0.03, p = 0.870) and was dropped from the full model to ease interpretation of single effect predictors. Model coefficients are shown in the link-function scale (“logit”). https://doi.org/10.1371/journal.pbio.3002859.s011
TABLE S6. Coefficients and likelihood-ratio tests of Poisson mixed model explaining variation in prospecting rate (e.g., number of prospecting forays per day; n = 895 daily measures of prospecting rate from 27 tagged birds). No statistical support was found for the interaction between sex and provisioning (χ21 = 0.97, p = 0.324), which was removed from the final model. Model coefficients (Estimate) are shown along with standard errors (SE) and 95% confidence intervals (95% CIs). Model coefficients are shown in the link-function scale (“log”). https://doi.org/10.1371/journal.pbio.3002859.s012
TABLE S7. Coefficients and likelihood-ratio tests of Gaussian mixed model (with log-transformed response variable) explaining variation in duration of individual forays (log minutes; n = 971 prospecting forays from 27 tagged birds). No statistical support was found for the interaction between sex and provisioning (χ21 = 1.14, p = 0.285), which was removed from the final model. Model coefficients (Estimate) are shown along with standard errors (SE) and 95% confidence intervals (95% CIs). Residual variance = 1.819. https://doi.org/10.1371/journal.pbio.3002859.s013
TABLE S8. Coefficients and likelihood-ratio tests of Gaussian mixed model (with log-transformed response variable) explaining variation in distance of individual forays (log meters; n = 971 prospecting forays from 27 tagged birds). No statistical support was found for the interaction between sex and provisioning (χ21 = 0.142, p = 0.707), which was removed from the final model. Model coefficients (Estimate) are shown along with standard errors (SE) and 95% confidence intervals (95% CIs). Residual variance = 0.059. https://doi.org/10.1371/journal.pbio.3002859.s014
TABLE S9. Poisson mixed model testing for a negative effect of prospecting rate (forays/day) on cooperative provisioning rate (feeds/hour). The data set comprised 34 daily measures of provisioning rate (each with a paired estimate of prospecting effort) from 13 subordinates (6 males and 7 females) in 7 social groups. Prospecting rate was calculated in the 3 days leading up to the measurement of cooperative provisioning rate. Despite the modest sample size, the model recovered the significant negative main effect of prospecting rate on provisioning rate that is expected under the Dispersal trade-off hypothesis. The effects of subordinate sex, brood age, and brood size were included as fixed effects only to ensure that uncontrolled independent effects of these variables were unlikely to be confounding the prospecting effect of interest. Given our use of a conservative full model approach throughout, these terms were retained in the model regardless of their significance. With regard to the interpretation of the effect of subordinate sex, see footnote B. Model coefficients (Estimate) are shown along with standard errors (SEs) and 95% confidence intervals (95% CIs). https://doi.org/10.1371/journal.pbio.3002859.s015
TABLE S10. Coefficients and likelihood-ratio tests of binomial mixed model explaining variation in the probability that natal subordinate individuals emigrate to a subordinate position (n = 88 dispersal events; 46 of 56 observed natal male dispersals; 19 of 32 observed natal female dispersals). Model coefficients are shown in the link-function scale (“logit”). https://doi.org/10.1371/journal.pbio.3002859.s016
SUPPORTING INFORMATION : FILE S1. Text A. Quantifying the contributions of natal subordinates to cooperative provisioning. Text B. Additional Encounternet methods. Text C. Impact of unknown dispersal events on age-specific dispersal probabilities of natal subordinates. Text D. Sex difference in the strategy used to acquire dominance via dispersal. https://doi.org/10.1371/journal.pbio.3002859.s001.
FIGURE S1. The Encounternet receiver “base station” array that was used for detecting forays. Panel (A) and (B) show the same simplified map of the study site with the locations of the 35 base stations (black and red dots), most of which were placed in the centre of distinct sparrow weaver territories (see Methods). The x and y axes present longitude and latitude (respectively) in metres East and metres North of a given arbitrary location and thus also provide the scale for these maps. In each panel, a circle of 250 meters radius around a focal base station (red dot) is illustrated with a blue line; the only difference between the panels being the location of the focal base station. A single foray was defined as a continuous run (in time) of location estimates which suggested that the bird’s closest base station was >250 m away from the centre of its home territory (i.e., outside blue circle) for at least 15 s. As the mean (± SE) distance between the centres of neighbouring territories was 93.7 m (± 4.56 m), the forays detected with this approach will typically have involved movements beyond the centres of the territories of neighbouring groups. This conservative approach will minimise the chance that a resident bird’s territorial interactions with its neighbouring groups along their shared territory boundary are incorrectly interpreted as extra-territorial prospecting, but is likely to underestimate the true incidence of extra-territorial prospecting by excluding more local forays. The lack of base stations placed within the territories of study groups in the regions outside our core study population will also have left this approach underestimating true foray rate (and likely mean foray distance too). The land to the East and West of the presented array contains no other sparrow weaver territories within the pictured area (and so the focal birds will not have been conducting forays to groups living in those areas). However, there are a small number of widely spaced territories to the North of the array and several also lie close to the array to the South. Prospecting movements into these active territories will therefore not have been logged by our array. Spatial heterogeneity in the probability of true forays being detected by the array will have been accounted for in our statistical models of prospecting rate as all included social Group ID (i.e., territory ID) as a random term. Data and code needed to generate this figure can be found at https://doi.org/10.5281/zenodo.13623047. https://doi.org/10.1371/journal.pbio.3002859.s002.
FIGURE S2. The effect of changing the number of days over which an individual’s prospecting rate was calculated (x axis; prior to the day on which provisioning rate was measured) on the effect size estimate for the effect of an individual’s prospecting rate (forays/day) on its cooperative provisioning rate (feeds/hour). Our analyses within the main paper calculated the prospecting rate over the 3 days prior to the measurement of provisioning rate, as we thought it plausible a priori that any energetic or stress-related costs of prospecting might accumulate and be evident over this timescale. However, on recognising that this decision is somewhat arbitrary we sought to verify, via this sensitivity analysis, that the detected negative covariance between the 2 traits was not particular to this choice of time window. The analysis confirms evidence of negative covariance between the 2 traits over a range of time windows. The initial steady increase in the effect size as the length of the time window considered increases could reflect (i) the timescale over which accumulated costs arising from recent prospecting impact cooperative behaviour, and/or (ii) that, given the modest rate at which prospecting forays occur, the shortest time windows may simply give a poorer-quality estimate of the focal bird’s overall true rate of prospecting. Dots and error bars represent mean model estimates ± SE for the effect of prospecting rate on provisioning rate from the model presented in S9 Table when calculating each bird’s prospecting rate over different time windows. Data and code needed to generate this figure can be found at https://doi.org/10.5281/zenodo.13623047. https://doi.org/10.1371/journal.pbio.3002859.s003
FIGURE S3. Decision tree applied to assign “best estimate” locations to tagged birds using the logs from the Encounternet receiver base station array (see Methods). For each 15-s window in the time series of logs for a given bird, we attempted to assign the tagged bird a “best estimate” location via the following set of rules depicted by the flow diagram here. First, if there were no logs at all for the focal tag during the focal time window, we noted the bird’s location as “unknown” (we did not draw spatial inferences from such “unknown” location events as they could reflect the bird being in a microenvironment that impeded signal transmission, such as thick cover). Second, if there were logs for the focal tag from just one base station (indicating that the tag was out of reception range from all other base stations), we assigned the tagged bird the location of the base station at which it was logged. Third, if there were logs for the focal tag from more than one base station but none of them were the tagged bird‘s home base station, we assigned the tagged bird the location of the base station whose logs had the highest mean signal strength. Note that the highest mean signal strength could nevertheless have been weak in this case (e.g., if the bird was well beyond the boundary of our base station array, having prospected out of the study area, its tag might be logged with only a weak signal strength at the base station closest to it on the array periphery; hence us terming these “best estimate” locations). Fourth, if there were logs for the focal tag from more than one base station but one of them was the bird’s home base station, (i) if the home base station signal strength was stronger than −11.484 (the estimated signal strength at 50 m; see S5 Fig), we assigned the tagged bird the home base station location; (ii) if this was not the case, we assigned the tagged bird the location of the base station with the strongest mean signal strength. https://doi.org/10.1371/journal.pbio.3002859.s004
FIGURE S4. Sensitivity analysis to assess the effect of the “distance threshold” set during the foray detection process (see Methods) on (A) the total number of detected “forays” and (B) the effect size estimate for the sex difference in prospecting rate (forays/day; males relative to females). (A) A “foray” was only considered to have occurred if the base station receiver that the focal bird was estimated to be closest to (i.e., its “best estimate” location) was further than a set distance threshold away from the base station at the centre of the bird’s home territory (see Methods). A priori we set this distance threshold to be 250 m as this approach renders it highly likely that the focal bird itself is >125 m away from the centre of their home territory (see Methods in the main paper for the rationale). As the mean (± SE) distance between the centres of neighbouring territories is 93.7 m (± 4.56 m) in our study population, this minimum plausible distance of 125 m from the centre of the bird’s home territory should ensure that “forays” detected using a 250 m distance threshold will typically have involved movements beyond the territory-centres of the tagged bird’s neighbouring groups. This approach should thereby minimise the chance that the bird’s territorial interactions with its neighbours along their shared boundary while “at home” are misclassified as extra-territorial forays. Reducing the distance threshold below 250 m will progressively increase the risk of such misclassifications; the likely cause of the marked increase in the number of “forays” detected when threshold distances of 225 m and 200 m are used (panel A), while increasing the distance threshold above 250 m may yield an excessively conservative approach that substantially underestimates the incidence of “true forays” by failing to capture those that occur over shorter distances. (B) The effect that changing this set distance threshold has on the estimated effect size (± SE) for the overall sex difference in prospecting rate (shown here as the effect of being male relative to female), when re-running the model presented in S6 Table using different distance thresholds during the foray classification process. The effect was consistently estimated to be positive across the range of distance thresholds tested (i.e., males having higher prospecting rates than females) and, as expected, the magnitude of the estimated sex difference effect size tended to increase as progressively higher distance thresholds were set. This is to be expected as lower distance thresholds will tend with greater frequency to misclassify home-territory movements (in which no sex difference is expected) as “forays,” thereby obscuring to a greater degree our estimate of the sex difference in the true prospecting rate. All of the prospecting analyses presented and referred to in the main text used the 250 m distance threshold, as this makes most sense a priori from attention to the biology of the bird (see Methods). Data and code needed to generate this figure can be found at https://doi.org/10.5281/zenodo.13623047. https://doi.org/10.1371/journal.pbio.3002859.s005
FIGURE S5. The received signal strength indicator (RSSI) values (A) and percentage of detected signals (B) both decreased with the distance between tags and base-station receivers in a field validation on our study site. Our workflow for using the distribution of signal strengths across our receiver array to allocate “best estimate” locations for the tagged birds in each 15-s window, principally used information on the relative signal strength between receivers whenever tags were detected at multiple receivers simultaneously (see S3 Fig for details). However, to add an additional layer of conservatism to the assignment of “non-home” locations in scenarios in which a tag was detected by the receiver in the centre of the tagged bird’s “home” territory as well as one or more receivers elsewhere, we also sought to estimate a threshold absolute signal strength that, if exceeded by the receiver on the home territory, would act as another indicator that the tagged bird was likely “home.” To do this, we estimated the signal strength (RSSI)-distance relationship within our study site (panel A) using biologically realistic locations for the birds via the method described below, and then calculated the mean signal strength obtained at 50 m distance from a receiver in this context for use as this threshold value (as the mean ± SE distance between neighbouring territory centres is just 93.7 m ± 4.56 m in our study population). This process yielded a threshold RSSI value of −11.484; so if a tagged bird was registered with an RSSI value above −11.484 at the receiver at the centre of its “home” territory, the bird was conservatively assigned a “home” location regardless of the signal strengths logged in other locations (see the final step in the S3 Fig workflow). We appreciate that the inherent variability within the RSSI-distance relationship (panel a; due to the effects for example of variation in tag height and signal obstruction via natural features on the study site) has 2 implications, and we do not consider either to be a problem. First, panel a highlights that tagged birds that are on their “home” territory will not always be registered at their “home” receiver at an RSSI >-11.484. In this scenario, we expect the other conservative aspects of our workflows for (i) determining the “best estimate” locations for birds (see S3 Fig) and (ii) identifying forays from the properties of any “non-home” locations (see main paper Methods) to ensure that the bird is not considered to be prospecting in this scenario. Second, panel A highlights that tagged birds could still be registered at their home receiver with an RSSI >-11.484 if they were 80 m from that receiver (potentially further if at heights in excess of those tested in this field exercise; see below) and thus potentially just inside the territory of a neighbouring group. We consider the assignment of a “home” location in this scenario appropriately conservative, as such locations could plausibly reflect routine territorial interactions between neighbouring groups rather than prospecting events. In order to characterise the relationship between RSSI and distance, we placed 2 tags on the end of a narrow wooden pole (one with its antenna oriented vertically, parallel to the base station antennae, and another with its antenna oriented horizontally, perpendicular to the base station antennae) and used the pole to move the tags among a series of locations on 10 transects, each starting from a different focal base station (itself hanging from a roost tree, just as the receivers in our array were). For each transect, we assessed the signal strength of the tags first at 2 m from the focal base station and then at locations at successive 10 m intervals up to a maximum of 122 m away from the focal base station. For one transect, the first location was accidentally set at 8 m from the focal base station and then sampled at 10 m intervals up to 108 m. At each location, we held the pole in position for 4 min, with tags located 1.70 m above the ground for 2 min, and then on the ground for 2 min, to simulate tagged birds perching in vegetation and foraging on the ground; the 2 activities and approximate heights that dominate their time budgets. Data and code needed to generate this figure can be found at https://doi.org/10.5281/zenodo.13623047. https://doi.org/10.1371/journal.pbio.3002859.s006
TABLE S1. Coefficients and likelihood-ratio tests of Gaussian mixed model explaining variation in the provisioning visit duration of subordinates within their natal groups (response variable, originally in seconds, ln+1 transformed; n = 5,040 provisioning visits by 205 subordinates, 97 males and 109 females). The interaction between subordinate age and subordinate sex did not receive statistical support (χ23 = 6.39, p = 0.094) and was dropped from the full model to ease interpretation of single effect predictors. Residual variance = 0.262. https://doi.org/10.1371/journal.pbio.3002859.s007
TABLE S2. Coefficients and likelihood-ratio tests of binomial mixed model explaining variation in probability of provisioning a large food item by subordinates within their natal groups (n = 1,325 provisioning visits by 156 subordinates, 74 males and 83 females). The interaction between subordinate age and subordinate sex did not receive statistical support (χ23 = 0.31, p = 0.859) and was dropped from the full model to ease interpretation of single effect predictors. Model coefficients are shown in the link-function scale (“logit”). https://doi.org/10.1371/journal.pbio.3002859.s008
TABLE S3. Microsatellite relatedness of subordinates and offspring (n = 487 relatedness measures for 205 subordinates, 111 males and 94 females). This table shows the result of a linear model explaining variation in microsatellite relatedness [5] between subordinates (males and females) and the offspring that they help to rear. In the model subordinate sex was included as a fixed effect predictor. For details of microsatellite genotyping, see Supplementary Text A in [6,7]. Residual variance = 0.041. https://doi.org/10.1371/journal.pbio.3002859.s009
TABLE S4. Coefficients and likelihood-ratio tests of binomial mixed model explaining variation in probability of subordinate dominance acquisition in the natal group when subordinates resided in the natal group at 1, 2, 3, and 4 years of age (n = 375 age-specific observations, 114 males and 105 females). The interaction between subordinate age and subordinate sex did not receive statistical support (χ23 = 0.80, p = 0.850) and was dropped from the full model to ease interpretation of single effect predictors. Model coefficients are shown in the link-function scale (“logit”). https://doi.org/10.1371/journal.pbio.3002859.s010
TABLE S5. Coefficients and likelihood-ratio tests of binomial mixed model explaining variation in probability of subordinate dominance acquisition in the natal group when subordinates resided in the natal group at 1, 2, 3, and 4 years of age, including events any in which dominance was acquired outside the natal group by founding a new group within territory previously held by the natal group (i.e., territorial budding [8]) (n = 375 age-specific observations, 114 males and 105 females). The interaction between subordinate age and subordinate sex did not receive statistical support (χ23 = 0.03, p = 0.870) and was dropped from the full model to ease interpretation of single effect predictors. Model coefficients are shown in the link-function scale (“logit”). https://doi.org/10.1371/journal.pbio.3002859.s011
TABLE S6. Coefficients and likelihood-ratio tests of Poisson mixed model explaining variation in prospecting rate (e.g., number of prospecting forays per day; n = 895 daily measures of prospecting rate from 27 tagged birds). No statistical support was found for the interaction between sex and provisioning (χ21 = 0.97, p = 0.324), which was removed from the final model. Model coefficients (Estimate) are shown along with standard errors (SE) and 95% confidence intervals (95% CIs). Model coefficients are shown in the link-function scale (“log”). https://doi.org/10.1371/journal.pbio.3002859.s012
TABLE S7. Coefficients and likelihood-ratio tests of Gaussian mixed model (with log-transformed response variable) explaining variation in duration of individual forays (log minutes; n = 971 prospecting forays from 27 tagged birds). No statistical support was found for the interaction between sex and provisioning (χ21 = 1.14, p = 0.285), which was removed from the final model. Model coefficients (Estimate) are shown along with standard errors (SE) and 95% confidence intervals (95% CIs). Residual variance = 1.819. https://doi.org/10.1371/journal.pbio.3002859.s013
TABLE S8. Coefficients and likelihood-ratio tests of Gaussian mixed model (with log-transformed response variable) explaining variation in distance of individual forays (log meters; n = 971 prospecting forays from 27 tagged birds). No statistical support was found for the interaction between sex and provisioning (χ21 = 0.142, p = 0.707), which was removed from the final model. Model coefficients (Estimate) are shown along with standard errors (SE) and 95% confidence intervals (95% CIs). Residual variance = 0.059. https://doi.org/10.1371/journal.pbio.3002859.s014
TABLE S9. Poisson mixed model testing for a negative effect of prospecting rate (forays/day) on cooperative provisioning rate (feeds/hour). The data set comprised 34 daily measures of provisioning rate (each with a paired estimate of prospecting effort) from 13 subordinates (6 males and 7 females) in 7 social groups. Prospecting rate was calculated in the 3 days leading up to the measurement of cooperative provisioning rate. Despite the modest sample size, the model recovered the significant negative main effect of prospecting rate on provisioning rate that is expected under the Dispersal trade-off hypothesis. The effects of subordinate sex, brood age, and brood size were included as fixed effects only to ensure that uncontrolled independent effects of these variables were unlikely to be confounding the prospecting effect of interest. Given our use of a conservative full model approach throughout, these terms were retained in the model regardless of their significance. With regard to the interpretation of the effect of subordinate sex, see footnote B. Model coefficients (Estimate) are shown along with standard errors (SEs) and 95% confidence intervals (95% CIs). https://doi.org/10.1371/journal.pbio.3002859.s015
TABLE S10. Coefficients and likelihood-ratio tests of binomial mixed model explaining variation in the probability that natal subordinate individuals emigrate to a subordinate position (n = 88 dispersal events; 46 of 56 observed natal male dispersals; 19 of 32 observed natal female dispersals). Model coefficients are shown in the link-function scale (“logit”). https://doi.org/10.1371/journal.pbio.3002859.s016
Keywords
Evolution, Offspring, “Philopatry hypothesis”, Natal breeding
Sustainable Development Goals
SDG-15: Life on land
Citation
Capilla-Lasheras, P., Bircher, N., Brown, A.M., Harrison, X., Reed, T., York, J.E., et al. (2024) Evolution of sex differences in cooperation can be explained by trade-offs with dispersal. PLoS Biology 22(10): e3002859. https://doi.org/10.1371/journal.pbio.3002859
