Genetic diversity of Mycobacterium tuberculosis isolates from the central, eastern and southeastern Ethiopia
Loading...
Date
Authors
Agonafir, Mulualem
Belay, Gurja
Maningi, Nontuthuko Excellent
Feleke, Adey
Reta, Melese Abate
Olifant, Sharon L.
Hassen, Mohammed Suaudi
Girma, Tewodros
Journal Title
Journal ISSN
Volume Title
Publisher
Elsevier
Abstract
INTRODUCTION : The population structure of Mycobacterium tuberculosis complex (MTBC) in Ethiopia
is diverse but dominated by Euro-American (Lineage 4) and East-African-Indian (Lineage 3)
lineages. The objective of this study was to describe the genetic diversity of MTBC isolates in
Central, Eastern and Southeastern Ethiopia.
METHODS : A total of 223 MTBC culture isolates obtained from patients referred to Adama and Harar
TB reference laboratories were spoligotyped. Demographic and clinical characteristics were
collected.
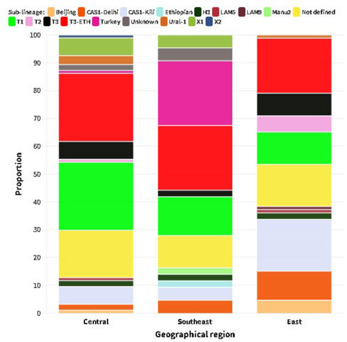
RESULTS : Six major lineages: Euro-American (Lineage 4), East-African-Indian (Lineage 3), East
Asian (Lineage 2), Indo-Oceanic (Lineage 1), Mycobacterium africanum (Lineage 5 and Lineage 6)
and Ethiopian (Lineage 7) were identified. The majority (94.6 %) of the isolates were Euro-
American and East-African-Indian, with proportions of 75.3 % and 19.3 %, respectively. Overall,
77 different spoligotype patterns were identified of which 42 were registered in the SITVIT2
database. Of these, 27 spoligotypes were unique, while 15 were clustered with 2–49 isolates.
SIT149/T3_ETH (n = 49), SIT53/T1 (n = 33), SIT21/CAS1_Kili (n = 24) and SIT41/Turkey (n =
11) were the dominant spoligotypes. A rare Beijing spoligotype pattern, SIT541, has also been
identified in Eastern Ethiopia. The overall clustering rate of sub-lineages with known SIT was
71.3 %. Age group (25–34) was significantly associated with clustering.
CONCLUSION : We found a heterogeneous population structure of MTBC dominated by T and CAS
families, and the Euro-American lineage. The identification of the Beijing strain, particularly the
rare SIT541 spoligotype in Eastern Ethiopia, warrants a heightened surveillance plan, as little is
known about this genotype. A large-scale investigation utilizing a tool with superior discriminatory
power, such as whole genome sequencing, is necessary to gain a thorough understanding
of the genetic diversity of MTBC in the nation, which would help direct the overall control efforts.
Description
DATA AVAILABILITY STATEMENT : Data related to the current study are all included in the results section.
Keywords
Spoligotyping, Genetic diversity, Lineage, Sub-lineage, Ethiopia, Mycobacterium tuberculosis complex (MTBC), SDG-03: Good health and well-being
Sustainable Development Goals
SDG-03:Good heatlh and well-being
Citation
Agonafir, M., Belay, G., Maningi, N.E. et al. 2023, 'Genetic diversity of mycobacterium tuberculosis isolates from the central, eastern and southeastern Ethiopia', Heliyon, vol. 9, art. e22898, pp. 1-12. https://DOI.org/10.1016/j.heliyon.2023.e22898.
