Effects of different operating parameters on hydrogen production by Parageobacillus thermoglucosidasius DSM 6285
Loading...
Date
Authors
Mohr, Teresa
Aliyu, Habibu
Biebinger, Lars
Godert, Roman
Hornberger, Alexander
Cowan, Don A.
De Maayer, Pieter
Journal Title
Journal ISSN
Volume Title
Publisher
BioMed Central
Abstract
Hydrogen gas represents a promising alternative energy source to dwindling fossil fuel reserves, as it carries the highest
energy per unit mass and its combustion results in the release of water vapour as only byproduct. The facultatively
anaerobic thermophile Parageobacillus thermoglucosidasius is able to produce hydrogen via the water–gas shift reaction
catalyzed by a carbon monoxide dehydrogenase–hydrogenase enzyme complex. Here we have evaluated the
effects of several operating parameters on hydrogen production, including different growth temperatures, pre-culture
ages and inoculum sizes, as well as different pHs and concentrations of nickel and iron in the fermentation medium.
All of the tested parameters were observed to have a substantive effect on both hydrogen yield and (specific) production
rates. A final experiment incorporating the best scenario for each tested parameter showed a marked increase in
the H2
production rate compared to each individual parameter. The optimised parameters serve as a strong basis for
improved hydrogen production with a view of commercialisation of this process.
Description
Additional file 1. Effect of initial gas composition on H2
production.
OD600
and gas composition during the cultivation of P. thermoglucosidasius
DSM 6285 with an initial gas atmosphere of (A) 36% CO + 64% air (B)
50% CO + 50% air (C) 75% CO + 25% air.
Additional file 2. Effect of inoculum preparation on H2 production— inoculum size. OD600 and gas composition during the cultivation of P. thermoglucosidasius DSM 6285 with different inoculum sizes of (A) 2% (B) 10% and (C) 20%.
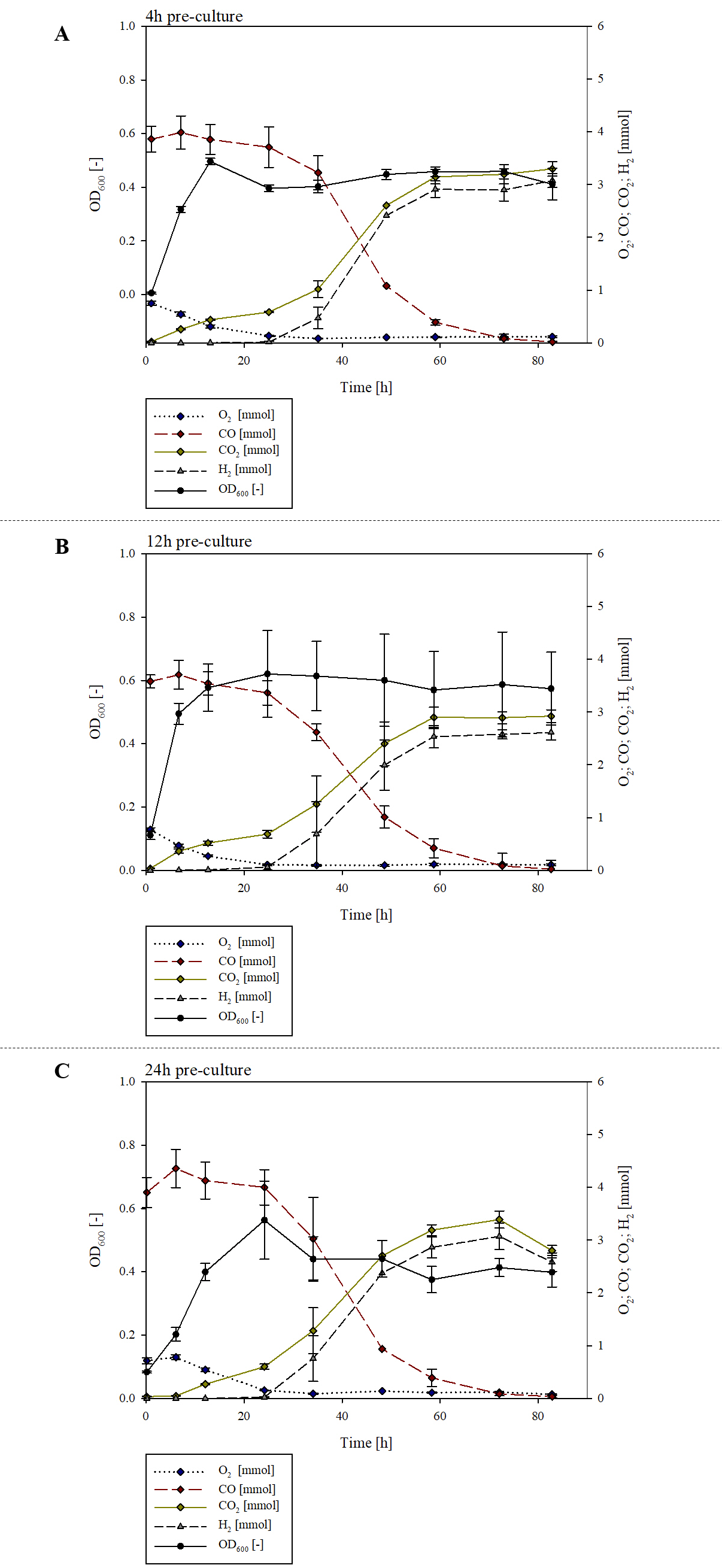
Additional file 3. Effect of inoculum preparation on H2 production— incubation time of the 2nd pre-culture. OD600 and gas composition during the cultivation of P. thermoglucosidasius DSM 6285 with variations in the incubation time of the 2nd pre-culture: (A) 4 h (B) 12 h (C) 24 h.
Additional file 4. Effect of cultivation temperature on H2 production. OD600 and gas composition during the cultivation of P. thermoglucosidasius DSM 6285 with different cultivation temperatures: (A) 50 °C (B) 55 °C (C) 60 °C.
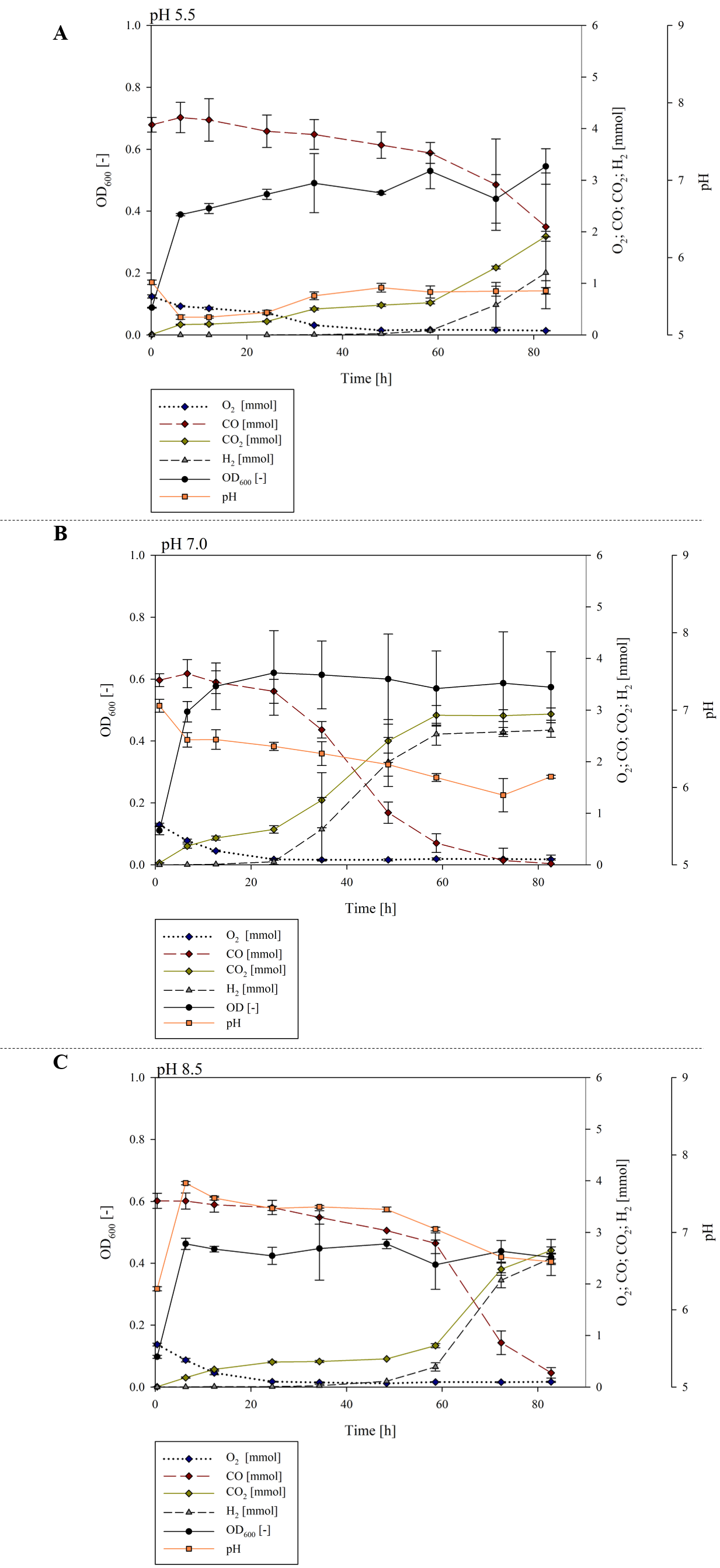
Additional file 5. Effect of initial pH on H2 production. OD600 and gas composition during the cultivation of P. thermoglucosidasius DSM 6285 with different pH set ups: (A) pH 5.5 (B) pH 7.0 (C) pH 8.5.
Additional file 6. Effect of Nickel and Iron concentration on H2 production. OD600 and gas composition during the cultivation of P. thermoglucosidasius DSM 6285 with addition of trace elements: (A) 0.3 mM NiSO4 ·6H2O + 0.04 mM FeSO4 ·7H2O and (B) 0.080 mM FeSO4·7H2O (C) 0.04 mM FeSO4 ·7H2O.
Additional file 2. Effect of inoculum preparation on H2 production— inoculum size. OD600 and gas composition during the cultivation of P. thermoglucosidasius DSM 6285 with different inoculum sizes of (A) 2% (B) 10% and (C) 20%.
Additional file 3. Effect of inoculum preparation on H2 production— incubation time of the 2nd pre-culture. OD600 and gas composition during the cultivation of P. thermoglucosidasius DSM 6285 with variations in the incubation time of the 2nd pre-culture: (A) 4 h (B) 12 h (C) 24 h.
Additional file 4. Effect of cultivation temperature on H2 production. OD600 and gas composition during the cultivation of P. thermoglucosidasius DSM 6285 with different cultivation temperatures: (A) 50 °C (B) 55 °C (C) 60 °C.
Additional file 5. Effect of initial pH on H2 production. OD600 and gas composition during the cultivation of P. thermoglucosidasius DSM 6285 with different pH set ups: (A) pH 5.5 (B) pH 7.0 (C) pH 8.5.
Additional file 6. Effect of Nickel and Iron concentration on H2 production. OD600 and gas composition during the cultivation of P. thermoglucosidasius DSM 6285 with addition of trace elements: (A) 0.3 mM NiSO4 ·6H2O + 0.04 mM FeSO4 ·7H2O and (B) 0.080 mM FeSO4·7H2O (C) 0.04 mM FeSO4 ·7H2O.
Keywords
Parageobacillus thermoglucosidasius, Water–gas shift reaction, Biohydrogen, Process optimization, CO-dehydrogenase
Sustainable Development Goals
SDG-07: Affordable and clean energy
SDG-09: Industry, innovation and infrastructure
SDG-13: Climate action
SDG-09: Industry, innovation and infrastructure
SDG-13: Climate action
Citation
Mohr et al. 2019, 'Effects of different operating parameters
on hydrogen production by Parageobacillus
thermoglucosidasius DSM 6285', AMB Express, vol. 9, art. 207, pp. 1-10.
