Predicting the environmental suitability for onchocerciasis in Africa as an aid to elimination planning
Loading...
Date
Authors
Ahmadpour, Ehsan
Beshir Ahmed, Muktar
Akalu, Temesgen Yihunie
Al- Aly, Ziyad
Alanezi, Fahad Mashhour
Alanzi, Turki M.
Alipour, Vahid
Andrei, Catalina Liliana
Ansari, Fereshteh
Ansha, Mustafa Geleto
Journal Title
Journal ISSN
Volume Title
Publisher
Public Library of Science
Abstract
Recent evidence suggests that, in some foci, elimination of onchocerciasis from Africa may be feasible with mass drug administration (MDA) of ivermectin. To achieve continental elimination of transmission, mapping surveys will need to be conducted across all implementation units (IUs) for which endemicity status is currently unknown. Using boosted regression tree models with optimised hyperparameter selection, we estimated environmental suitability for onchocerciasis at the 5 × 5-km resolution across Africa. In order to classify IUs that include locations that are environmentally suitable, we used receiver operating characteristic (ROC) analysis to identify an optimal threshold for suitability concordant with locations where onchocerciasis has been previously detected. This threshold value was then used to classify IUs (more suitable or less suitable) based on the location within the IU with the largest mean prediction. Mean estimates of environmental suitability suggest large areas across West and Central Africa, as well as focal areas of East Africa, are suitable for onchocerciasis transmission, consistent with the presence of current control and elimination of transmission efforts. The ROC analysis identified a mean environmental suitability index of 071 as a threshold to classify based on the location with the largest mean prediction within the IU. Of the IUs considered for mapping surveys, 502% exceed this threshold for suitability in at least one 5 × 5-km location. The formidable scale of data collection required to map onchocerciasis endemicity across the African continent presents an opportunity to use spatial data to identify areas likely to be suitable for onchocerciasis transmission. National onchocerciasis elimination programmes may wish to consider prioritising these IUs for mapping surveys as human resources, laboratory capacity, and programmatic schedules may constrain survey implementation, and possibly delaying MDA initiation in areas that would ultimately qualify.
Description
SUPPORTING INFORMATION : FIGURE S1. Data coverage by year.
Here we visualise the volume of data used in the analysis by country and year. Larger circles indicate more data inputs. ‘NA’ indicates records for which no year was reported (eg, ‘pre-2000’).
https://doi.org/10.1371/journal.pntd.0008824.s001
FIGURE S2. Illustration of covariate values for year 2000. Maps were produced using ArcGIS Desktop 10.6. https://doi.org/10.1371/journal.pntd.0008824.s002
FIGURE S3. Environmental suitability of onchocerciasis including locations that have received MDA for which no pre-intervention data are available. This plot shows suitability predictions from green (low = 0%) to pink (high = 100%), representing those areas where environmental conditions are most similar to prior pathogen detections. Countries in grey with hatch marks were excluded from the analysis based on a review of national endemicity status. Areas in grey only represent locations masked due to sparse population. Maps were produced using ArcGIS Desktop 10.6 and shapefiles to visualize administrative units are available at https://espen.afro.who.int/tools-resources/cartography-database. https://doi.org/10.1371/journal.pntd.0008824.s003
FIGURE S4. Environmental suitability prediction uncertainty including locations that have received MDA for which no pre-intervention data are available. This plot shows uncertainty associated with environmental suitability predictions colored from blue to red (least to most uncertain). Countries in grey with hatch marks were excluded from the analysis based on a review of national endemicity status. Areas in grey only represent locations masked due to sparse population. Maps were produced using ArcGIS Desktop 10.6 and shapefiles to visualize administrative units are available at https://espen.afro.who.int/tools-resources/cartography-database. https://doi.org/10.1371/journal.pntd.0008824.s004
FIGURE S5. Environmental suitability of onchocerciasis excluding morbidity data. This plot shows suitability predictions from green (low = 0%) to pink (high = 100%), representing those areas where environmental conditions are most similar to prior pathogen detections. Countries in grey with hatch marks were excluded from the analysis based on a review of national endemicity status. Areas in grey only represent locations masked due to sparse population. Maps were produced using ArcGIS Desktop 10.6 and shapefiles to visualize administrative units are available at https://espen.afro.who.int/tools-resources/cartography-database. https://doi.org/10.1371/journal.pntd.0008824.s005
FIGURE S6. Environmental suitability prediction uncertainty excluding morbidity data. This plot shows uncertainty associated with environmental suitability predictions colored from blue to red (least to most uncertain). Countries in grey with hatch marks were excluded from the analysis based on a review of national endemicity status. Areas in grey only represent locations masked due to sparse population. https://doi.org/10.1371/journal.pntd.0008824.s006
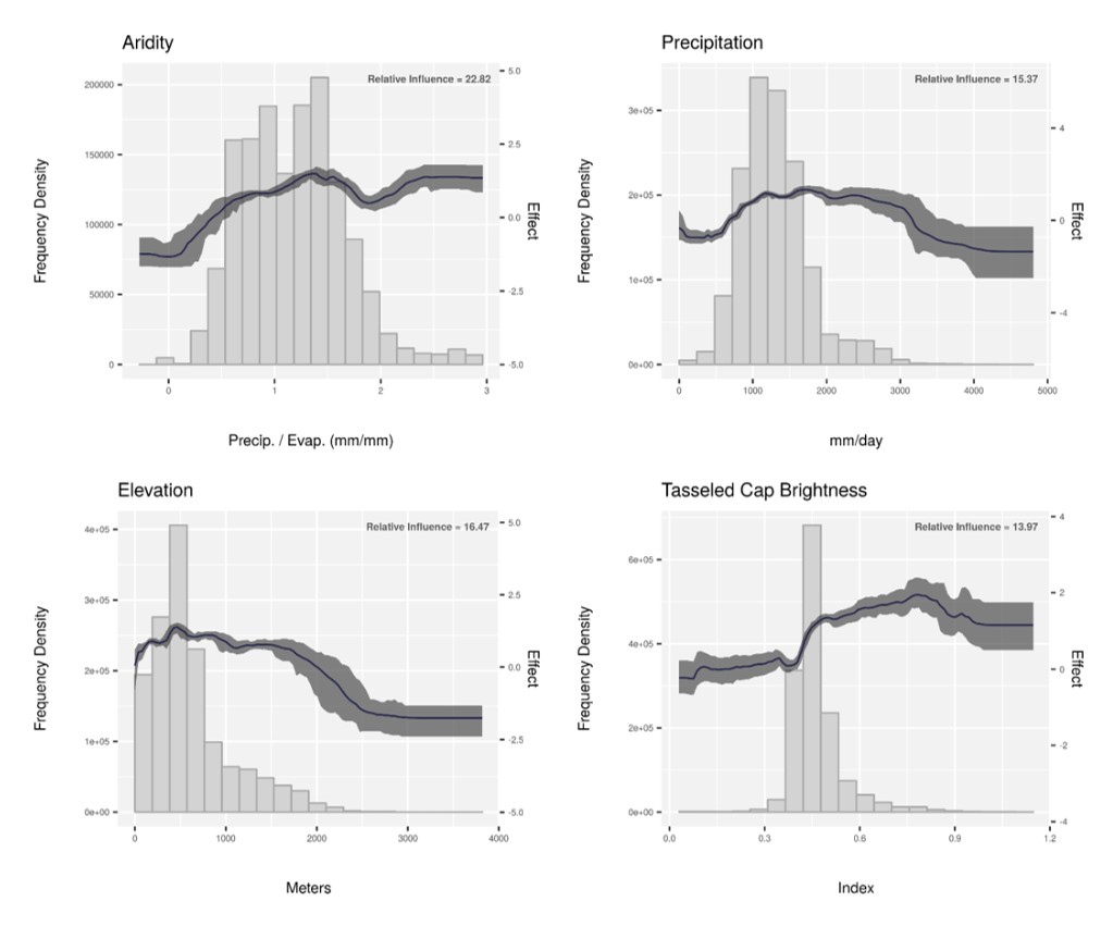
FIGURE S7. Covariate Effect Curves for all onchocerciasis occurrences (measures of infection prevalence and disability). On the right set of axes we show the frequency density of the occurrences taking covariate values over 20 bins of the horizontal axis. The left set of axes shows the effect of each on the model, where the mean effect is plotted on the black line and its uncertainty is represented by the upper and lower confidence interval bounds plotted in dark grey. The figures show the fit per covariate relative to the data that correspond to specific values of the covariate. https://doi.org/10.1371/journal.pntd.0008824.s007
FIGURE S8. Covariate Effect Curves for all onchocerciasis occurrences (measures of infection prevalence and disability). On the right set of axes we show the frequency density of the occurrences taking covariate values over 20 bins of the horizontal axis. The left set of axes shows the effect of each on the model, where the mean effect is plotted on the black line and its uncertainty is represented by the upper and lower confidence interval bounds plotted in dark grey. https://doi.org/10.1371/journal.pntd.0008824.s008
FIGURE S9. ROC analysis for threshold. Results of the area under the receiver operating characteristic (ROC) curve analysis are presented below, with false positive rate (FPR) on the x-axis and true positive rate (TPR) on the y-axis. The red dot on the curve represents the location on the curve that corresponds to a threshold that most closely agreed with the input data. For each of the 100 BRT models, we estimated the optimal threshold that maximised agreement between occurrence inputs (considered true positives) and the mean model predictions as 0·71. https://doi.org/10.1371/journal.pntd.0008824.s009
TABLE S1. Guidelines for Accurate and Transparent Health Estimates Reporting (GATHER) checklist. https://doi.org/10.1371/journal.pntd.0008824.s010
TABLE S2. Total number of occurrence data classified as point and polygon inputs by diagnostic. We present the total number of occurrence points extracted from the input data sources by diagnostic type. ‘Other diagnostics’ include: DEC Patch test; Knott’s Method (Mazotti Test); 2 types of LAMP; blood smears; and urine tests. https://doi.org/10.1371/journal.pntd.0008824.s011
TABLE S3. Total number of occurrence data classified as point and polygon inputs by location. https://doi.org/10.1371/journal.pntd.0008824.s012
TABLE S4. Covariate information. https://doi.org/10.1371/journal.pntd.0008824.s013
TEXT S1. Details outlining construction of occurrence dataset. https://doi.org/10.1371/journal.pntd.0008824.s014
TEXT S2. Covariate rationale. https://doi.org/10.1371/journal.pntd.0008824.s015
TEXT S3. Boosted regression tree methodology additional details. https://doi.org/10.1371/journal.pntd.0008824.s016
APPENDIX S1. Country-level maps and data results. Maps were produced using ArcGIS Desktop 10.6 and shapefiles to visualize administrative units are available at https://espen.afro.who.int/tools-resources/cartography-database. https://doi.org/10.1371/journal.pntd.0008824.s017
FIGURE S2. Illustration of covariate values for year 2000. Maps were produced using ArcGIS Desktop 10.6. https://doi.org/10.1371/journal.pntd.0008824.s002
FIGURE S3. Environmental suitability of onchocerciasis including locations that have received MDA for which no pre-intervention data are available. This plot shows suitability predictions from green (low = 0%) to pink (high = 100%), representing those areas where environmental conditions are most similar to prior pathogen detections. Countries in grey with hatch marks were excluded from the analysis based on a review of national endemicity status. Areas in grey only represent locations masked due to sparse population. Maps were produced using ArcGIS Desktop 10.6 and shapefiles to visualize administrative units are available at https://espen.afro.who.int/tools-resources/cartography-database. https://doi.org/10.1371/journal.pntd.0008824.s003
FIGURE S4. Environmental suitability prediction uncertainty including locations that have received MDA for which no pre-intervention data are available. This plot shows uncertainty associated with environmental suitability predictions colored from blue to red (least to most uncertain). Countries in grey with hatch marks were excluded from the analysis based on a review of national endemicity status. Areas in grey only represent locations masked due to sparse population. Maps were produced using ArcGIS Desktop 10.6 and shapefiles to visualize administrative units are available at https://espen.afro.who.int/tools-resources/cartography-database. https://doi.org/10.1371/journal.pntd.0008824.s004
FIGURE S5. Environmental suitability of onchocerciasis excluding morbidity data. This plot shows suitability predictions from green (low = 0%) to pink (high = 100%), representing those areas where environmental conditions are most similar to prior pathogen detections. Countries in grey with hatch marks were excluded from the analysis based on a review of national endemicity status. Areas in grey only represent locations masked due to sparse population. Maps were produced using ArcGIS Desktop 10.6 and shapefiles to visualize administrative units are available at https://espen.afro.who.int/tools-resources/cartography-database. https://doi.org/10.1371/journal.pntd.0008824.s005
FIGURE S6. Environmental suitability prediction uncertainty excluding morbidity data. This plot shows uncertainty associated with environmental suitability predictions colored from blue to red (least to most uncertain). Countries in grey with hatch marks were excluded from the analysis based on a review of national endemicity status. Areas in grey only represent locations masked due to sparse population. https://doi.org/10.1371/journal.pntd.0008824.s006
FIGURE S7. Covariate Effect Curves for all onchocerciasis occurrences (measures of infection prevalence and disability). On the right set of axes we show the frequency density of the occurrences taking covariate values over 20 bins of the horizontal axis. The left set of axes shows the effect of each on the model, where the mean effect is plotted on the black line and its uncertainty is represented by the upper and lower confidence interval bounds plotted in dark grey. The figures show the fit per covariate relative to the data that correspond to specific values of the covariate. https://doi.org/10.1371/journal.pntd.0008824.s007
FIGURE S8. Covariate Effect Curves for all onchocerciasis occurrences (measures of infection prevalence and disability). On the right set of axes we show the frequency density of the occurrences taking covariate values over 20 bins of the horizontal axis. The left set of axes shows the effect of each on the model, where the mean effect is plotted on the black line and its uncertainty is represented by the upper and lower confidence interval bounds plotted in dark grey. https://doi.org/10.1371/journal.pntd.0008824.s008
FIGURE S9. ROC analysis for threshold. Results of the area under the receiver operating characteristic (ROC) curve analysis are presented below, with false positive rate (FPR) on the x-axis and true positive rate (TPR) on the y-axis. The red dot on the curve represents the location on the curve that corresponds to a threshold that most closely agreed with the input data. For each of the 100 BRT models, we estimated the optimal threshold that maximised agreement between occurrence inputs (considered true positives) and the mean model predictions as 0·71. https://doi.org/10.1371/journal.pntd.0008824.s009
TABLE S1. Guidelines for Accurate and Transparent Health Estimates Reporting (GATHER) checklist. https://doi.org/10.1371/journal.pntd.0008824.s010
TABLE S2. Total number of occurrence data classified as point and polygon inputs by diagnostic. We present the total number of occurrence points extracted from the input data sources by diagnostic type. ‘Other diagnostics’ include: DEC Patch test; Knott’s Method (Mazotti Test); 2 types of LAMP; blood smears; and urine tests. https://doi.org/10.1371/journal.pntd.0008824.s011
TABLE S3. Total number of occurrence data classified as point and polygon inputs by location. https://doi.org/10.1371/journal.pntd.0008824.s012
TABLE S4. Covariate information. https://doi.org/10.1371/journal.pntd.0008824.s013
TEXT S1. Details outlining construction of occurrence dataset. https://doi.org/10.1371/journal.pntd.0008824.s014
TEXT S2. Covariate rationale. https://doi.org/10.1371/journal.pntd.0008824.s015
TEXT S3. Boosted regression tree methodology additional details. https://doi.org/10.1371/journal.pntd.0008824.s016
APPENDIX S1. Country-level maps and data results. Maps were produced using ArcGIS Desktop 10.6 and shapefiles to visualize administrative units are available at https://espen.afro.who.int/tools-resources/cartography-database. https://doi.org/10.1371/journal.pntd.0008824.s017
Keywords
Foci, Africa, Transmission, Mass drug administration (MDA), Ivermectin, Implementation units (IUs), Elimination of transmission, Receiver operating characteristic (ROC)
Sustainable Development Goals
Citation
Cromwell, E.A., Osborne, J.C.P., Unnasch, T.R.,
Basáñez, M.-G., Gass, K.M., Barbre, K.A., et al. (2021)
Predicting the environmental suitability for
onchocerciasis in Africa as an aid to elimination
planning. PLoS Neglected Tropical Diseases 15(7): e0008824.
https://DOI.org/10.1371/journal.pntd.0008824.
