The influence of life history characteristics on flea (Siphonaptera) species distribution models
Loading...
Date
Authors
Van der Mescht, Luther
Le Roux, Peter Christiaan
Matthee, Conrad A.
Raath, Morgan Jade
Matthee, Sonja
Journal Title
Journal ISSN
Volume Title
Publisher
BioMed Central
Abstract
BACKGROUND : Ectoparasites exhibit pronounced variation in life history characteristics such as time spent on the
host and host range. Since contemporary species distribution (SD) modelling does not account for differences in
life history, the accuracy of predictions of current and future species’ ranges could differ significantly between life
history groups.
RESULTS : SD model performance was compared between 21 flea species that differ in microhabitat preferences and
level of host specificity. Distribution models generally performed well, with no significant differences in model
performance based on either microhabitat preferences or host specificity. However, the relative importance of
predictor variables was significantly related to host specificity, with the distribution of host-opportunistic fleas
strongly limited by thermal conditions and host-specific fleas more associated with conditions that restrict their
hosts’ distribution. The importance of temperature was even more pronounced when considering microhabitat
preference, with the distribution of fur fleas being strongly limited by thermal conditions and nest fleas more
associated with variables that affect microclimatic conditions in the host nest.
CONCLUSIONS : Contemporary SD modelling, that includes climate and landscape variables, is a valuable tool to study
the biogeography and future distributions of fleas and other parasites taxa. However, consideration of life history
characteristics is cautioned as species may be differentially sensitive to environmental conditions.
Description
Additional file 1: Calculation of coefficients of harmonic regression for
climate variables and topography in R. Description of data: R script
illustrating the production of the coefficients of harmonic regression for
climate variables and topography.
Additional file 2: Collinearity among the 19 final individual predictor variables. All final predictor variables had correlation values below 0.7 or above−0.7. Description of data: The table contains collinearity among final 19 predictor variables chosen for modelling.
Additional file 3: List of predictor variables indicating their respective reference codes. Description of data: The table contains a list of all predictor variables considered for this study and their abbreviations as reference codes.
Additional file 4: Calculation of the true skill statistic (TSS) for each replicate of the 10-fold cross-validation from MaxEnt output in R. Description of data: R script illustrating the calculation of the true skill statistic (TSS) for each replicate of the 10-fold cross-validation from MaxEnt output.
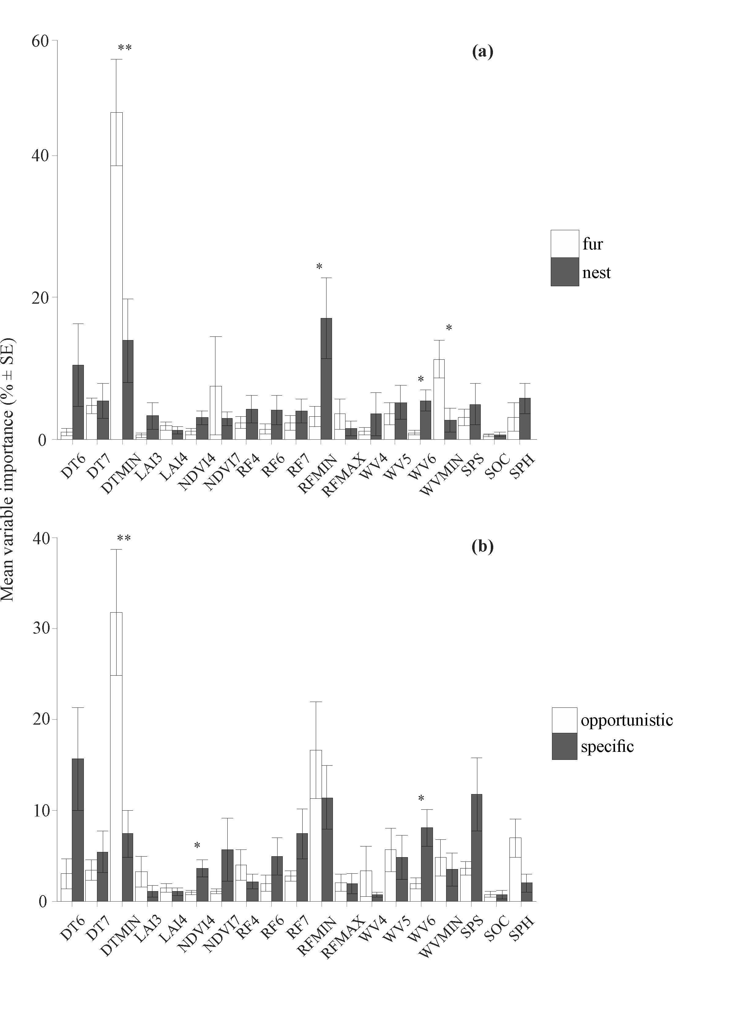
Additional file 5: Variable importance (i.e. percent relative predictor variable individual contribution) in MaxEnt models, averaged across flea species based on (a) microhabitat preference and (b) host specificity (see Additional file 2 for variable reference code). Significant differences in the contribution of predictor variables between the two categories of species are indicated by asterisks: *** P < 0.001, ** P < 0.01, * P < 0.05. Description of data: The bar plot figure illustrate variable importance (i.e. percent relative predictor variable individual contribution) in MaxEnt models, averaged across flea species based on microhabitat preference and host specificity.
Additional file 2: Collinearity among the 19 final individual predictor variables. All final predictor variables had correlation values below 0.7 or above−0.7. Description of data: The table contains collinearity among final 19 predictor variables chosen for modelling.
Additional file 3: List of predictor variables indicating their respective reference codes. Description of data: The table contains a list of all predictor variables considered for this study and their abbreviations as reference codes.
Additional file 4: Calculation of the true skill statistic (TSS) for each replicate of the 10-fold cross-validation from MaxEnt output in R. Description of data: R script illustrating the calculation of the true skill statistic (TSS) for each replicate of the 10-fold cross-validation from MaxEnt output.
Additional file 5: Variable importance (i.e. percent relative predictor variable individual contribution) in MaxEnt models, averaged across flea species based on (a) microhabitat preference and (b) host specificity (see Additional file 2 for variable reference code). Significant differences in the contribution of predictor variables between the two categories of species are indicated by asterisks: *** P < 0.001, ** P < 0.01, * P < 0.05. Description of data: The bar plot figure illustrate variable importance (i.e. percent relative predictor variable individual contribution) in MaxEnt models, averaged across flea species based on microhabitat preference and host specificity.
Keywords
Siphonaptera, MaxEnt, Host specificity, Microhabitat preference, Life history, Climate envelope modelling, Species distribution (SD), True skill statistic (TSS), Area under the curve (AUC)
Sustainable Development Goals
Citation
Van der Mescht, L, Le Roux, PC, Matthee, CA, Raath, MJ & Matthee, S 2016, 'The influence of life history characteristics on flea (Siphonaptera) species distribution models', Parasites and Vectors, vol. 9, art. no. 178, pp. 1-10.
