The effect of alphacypermethrin-treated mesh protection against African horse sickness virus vectors on jet stall microclimate, clinical variables and faecal glucocorticoid metabolites of horses
Loading...
Date
Authors
Page, Patrick Collin
Ganswindt, Andre
Schoeman, Johan P.
Venter, Gert Johannes
Guthrie, Alan John
Journal Title
Journal ISSN
Volume Title
Publisher
BioMed Central
Abstract
BACKGROUND : African horse sickness (AHS) is of importance to health and international trade in horses worldwide.
During export from and transit through AHS endemic countries or zones, physical and chemical measures to
protect horses from the vectors of AHS virus (AHSV) are recommended by the World Organization for Animal
Health. Protection of containerized air transport systems for horses (jet stalls) with alphacypermethrin insecticidetreated
high density polyethylene mesh is effective in reducing the Culicoides midge vector attack rate. In order to
determine the effect of this mesh on jet stall ventilation and horse welfare under temperate climatic conditions, jet
stall microclimate, clinical variables and faecal glucocorticoid metabolite (FGM) levels of 12 horses were monitored
during overnight housing in either a treated or untreated stall in two blocks of a 2 × 3 randomized crossover
design.
RESULTS : Temperature difference between the treated stall and outside was significantly higher than the difference
between the untreated stall and outside at 1/15 time points only (P = 0.045, r = 0.70). Relative humidity (RH)
difference between the treated stall and outside did not differ from the untreated stall and outside. Temperature
and RH in the treated stall were highly and significantly correlated with outside temperature (r = 0.96, P < 0.001)
and RH (r = 0.95, P < 0.001), respectively. No significant differences were detected between rectal temperatures,
pulse and respiratory rates of horses in the treated stall compared to the untreated stall. Mean FGM concentrations
for horses housed in the treated stall peaked earlier (24 h) and at a higher concentration than horses housed in the
untreated stall (48 h), but were not significantly different from baseline. No significant difference was detected in
FGM concentrations when the treated and untreated stall groups were compared at individual time points up to
72 h after exiting the jet stall.
CONCLUSIONS : Alphacypermethrin-treated HDPE mesh could be used under temperate climatic conditions to
protect horses in jet stalls against AHSV vectors, without compromising jet stall microclimate and horse welfare.
Description
Additional file 1: Temperature (°C; mean ± SEM) recorded at hourly
time points in a treated jet stall, an untreated jet stall and outside over 6
nights under temperate climatic conditions.
Additional file 2: Relative humidity (%; mean ± SEM) recorded at hourly time points in a treated jet stall, an untreated jet stall and outside over 6 nights under temperate climatic conditions.
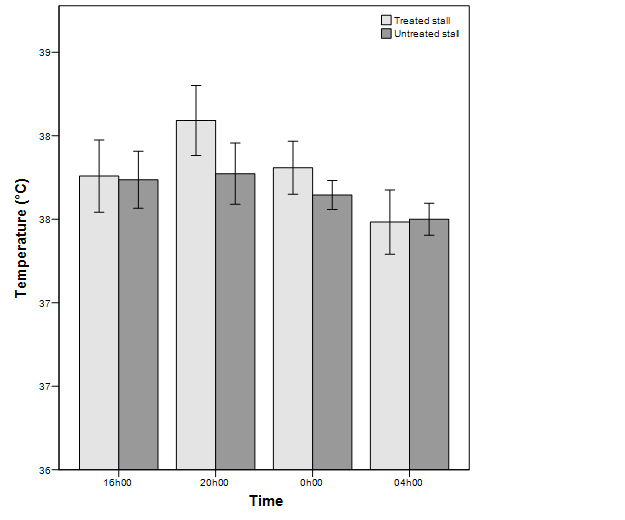
Additional file 3: Rectal temperature (°C; mean ± SEM) of horses in the treated and untreated jet stall groups before entering the stall (16 h00) and during overnight housing (20 h00, 0 h00 and 04 h00).
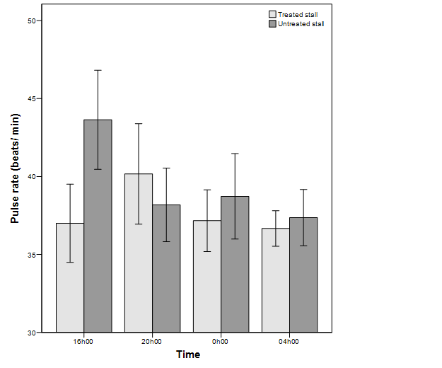
Additional file 4: Pulse rate (beats/ min; mean ± SEM) of horses in the treated and untreated jet stall groups before entering the stall (16 h00) and during overnight housing (20 h00, 0 h00 and 04 h00).
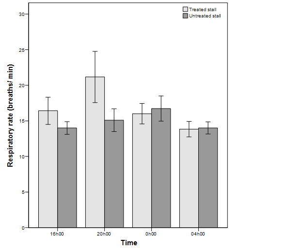
Additional file 5: Respiratory rate (breaths/ min; mean ± SEM) of horses in the treated and untreated jet stall groups before entering the stall (16 h00) and during overnight housing (20 h00, 0 h00 and 04 h00).
Additional file 2: Relative humidity (%; mean ± SEM) recorded at hourly time points in a treated jet stall, an untreated jet stall and outside over 6 nights under temperate climatic conditions.
Additional file 3: Rectal temperature (°C; mean ± SEM) of horses in the treated and untreated jet stall groups before entering the stall (16 h00) and during overnight housing (20 h00, 0 h00 and 04 h00).
Additional file 4: Pulse rate (beats/ min; mean ± SEM) of horses in the treated and untreated jet stall groups before entering the stall (16 h00) and during overnight housing (20 h00, 0 h00 and 04 h00).
Additional file 5: Respiratory rate (breaths/ min; mean ± SEM) of horses in the treated and untreated jet stall groups before entering the stall (16 h00) and during overnight housing (20 h00, 0 h00 and 04 h00).
Keywords
Jet stall, Alphacypermethrin, Mesh, Climate, African horse sickness (AHS), Faecal glucocorticoid metabolite (fGCM), Horse (Equus caballus)
Sustainable Development Goals
Citation
Page, P., Ganswindt, A., Schoeman, J., Venter, G. & Guthrie, A. 2017, 'The effect of alphacypermethrin-treated mesh protection against African horse sickness virus vectors on jet stall microclimate, clinical variables and faecal glucocorticoid metabolites of horses', BMC Veterinary Research, vol. 13, art. no. 283, pp. 1-8.
